CARACTERÍSTICAS ANTROPOMÉTRICAS, COMPOSICIÓN CORPORAL Y SOMATOTIPO EN JUGADORES DE ÉLITE DE WATERPOLO

Autores

  • Maria Helena Vila Suárez Universidade Católica San Antonio
  • Carmen Ferragut Fiol Universidad Católica San Antonio de Murcia (UCAM)
  • Nuria Rodríguez Suárez Universidad Católica San Antonio de Murcia (UCAM)
  • Francisco M. Argudo Iturriaga Universidad Autónoma de Madrid (UAM)
  • José Arturo Abraldes Valeiras Universidad de Murcia

Palavras-chave:

Deporte acuático, entrenamiento deportivo y rendimiento, porcentaje graso

Resumo

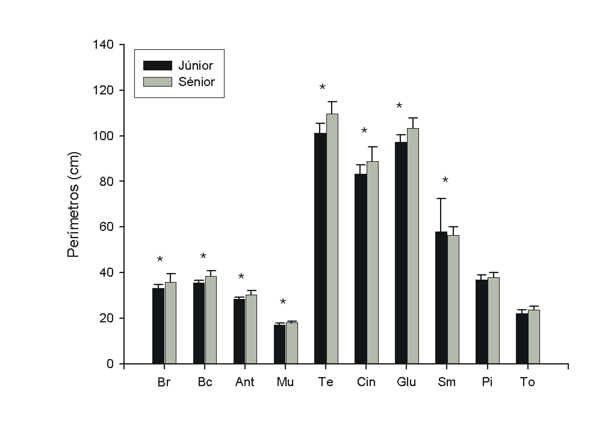
Este estudio describe la estructura antropométrica de los mejores jugadores de waterpolo españoles en las categorías júnior y sénior; y en segundo lugar, pretende determinar si existen diferencias antropométricas, en la composición corporal y en el somatotipo entre ambas categorías. La muestra empleada en este estudio fueron 23 jugadores de la selección española de waterpolo, de ellos, 9 jugadores de categoría júnior y 14 sénior. Las diferencias estadísticas más significantes, entre ambas categorías, son en aquellas variables que guardan relación indirecta con los niveles de fuerza y con la experiencia. Los jugadores de la categoría júnior presentan un somatotipo mesomórfico equilibrado, mientras que los jugadores de la categoría sénior presentan un somatotipo endo-mesomórfico.

Downloads

Arquivos adicionais

Publicado

2011-05-02

Edição

Seção

Artigos Originais