TROCA VELOCIDADE-ACURÁCIA EM TAREFA DE CONTORNAR FIGURAS GEOMÉTRICAS

Autores

  • Victor Hugo Alves Okazaki Universidade Estadual de Londrina
  • Danielle Brandalize UFPR
  • Natalia Kopp Okazaki UFPR
  • Bianca Drabovski UFPR
  • Iverson Ladewig UFPR

Palavras-chave:

Velocidade, precisão, movimento, controle motor.

Resumo

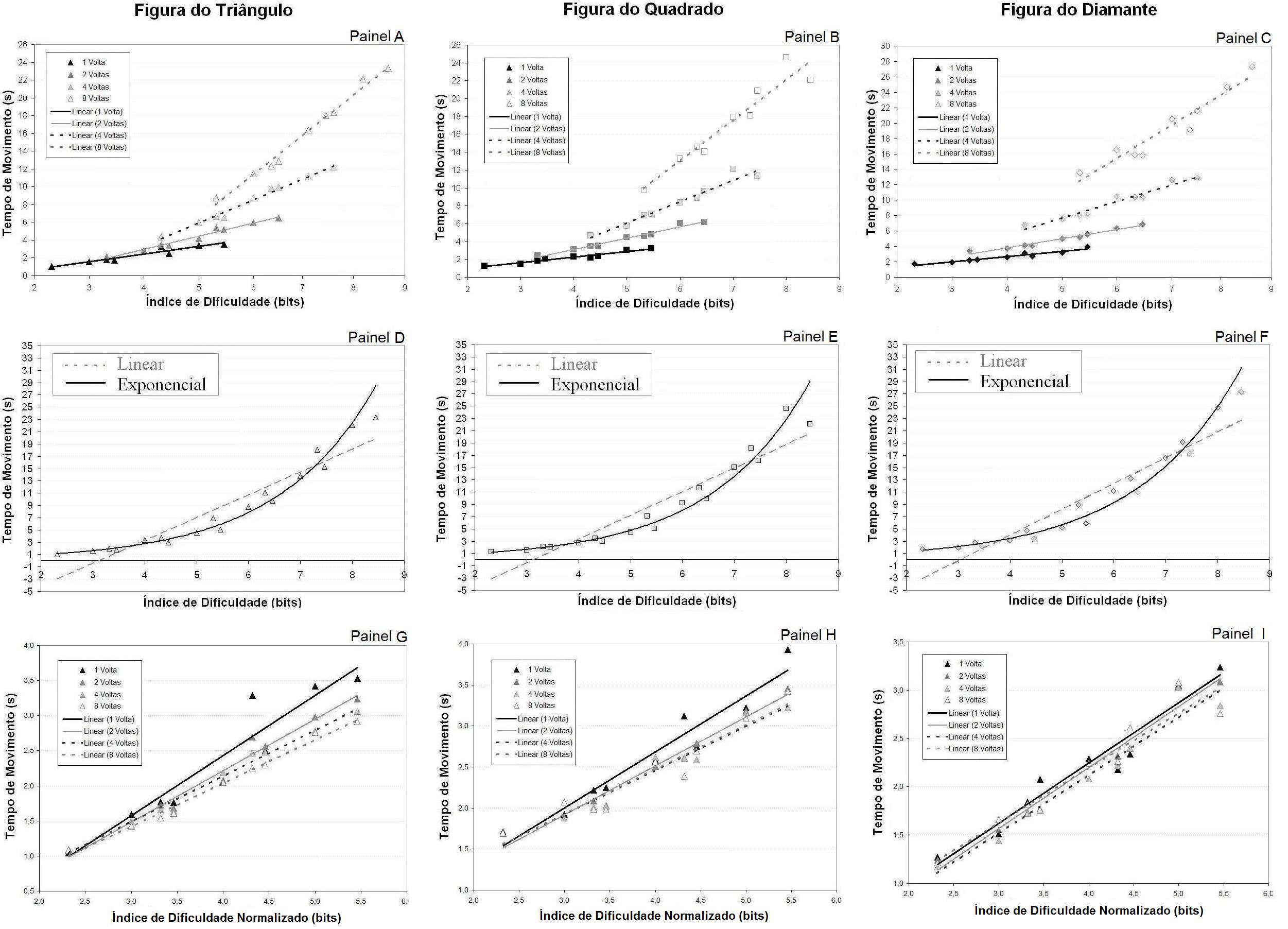
O presente estudo analisou o paradigma da relação inversa velocidade-acurácia, através da lei de Fitts, em tarefas de contornar figuras geométricas. Um software especialmente desenvolvido permitiu manipular a forma (quadrado, triângulo e diamante) e o tamanho da figura (perímetro e número de voltas para contorná-la), e a espessura da linha, fornecendo índices de dificuldade (ID) entre 2,32 e 8,46 bits. Foi verificada a robustez da lei de Fitts na tarefa de contornar figuras geométricas. Ademais, foi sugerido que, em análises que contemplem o número de repetição da tarefa (por exemplo: com movimentos discretos e cíclicos), o índice de dificuldade pode ser calculado a partir do número de tentativas, apresentando uma relação TM x ID exponencial ao invés de linear.

Biografia do Autor

  • Victor Hugo Alves Okazaki, Universidade Estadual de Londrina

    Possui graduação em Licenciatura Plena em Educação Física pela Universidade Federal do Paraná (2002), especialização em Treinamento Desportivo pela Faculdade Dom Bosco (2004), especialização em Ergonomia pela Universidade Federal do Paraná (2004), mestrado em Biomecânica pela Universidade Federal do Paraná (2006) e doutorado em Biodinâmica do Movimento Humano pela Universidade de São Paulo (2009). Atualmente é pesquisador professor Adjunto na Universidade Estadual de Londrina (UEL). É pesquisador vinculado aos laboratórios Sistemas Motores Humanos (USP), Centro de Estudos do Comportamento Motor (UFPR), Centro de Estudos do Movimento Humano (CEMOVH) e Grupo de Estudos e Pesquisa em Desenvolvimento e Aprendizagem Motora (UEL). Tem experiência na área de Educação Física, com ênfase em Comportamento Motor e Biomecânica, atuando principalmente nos temas: modelos de controle motor, coordenação motora, lateralidade, instrumentação em biomecânica, processamento de sinais biológicos, programação e desenvolvimento de softwares, e treinamento desportivo.

  • Danielle Brandalize, UFPR
    Mestre em Educação Física pela UFPR (Paraná – Brasil)
  • Natalia Kopp Okazaki, UFPR
    Mestre em Educação Física pela UFPR (Paraná – Brasil)
  • Bianca Drabovski, UFPR
    Mestre em Educação Física pela UFPR (Paraná – Brasil)
  • Iverson Ladewig, UFPR
    Doutor em Desenvolvimento Motor e Estudos Esportivos pelaUniversidade de Pittsburgh e Professor Associado do Depto. deEducação Física da Universidade Federal do Paraná (Paraná – Brasil)

Downloads

Arquivos adicionais

Publicado

2011-07-01

Edição

Seção

Artigos Originais